PsiTriangGen (ap,m,br,p,r…)
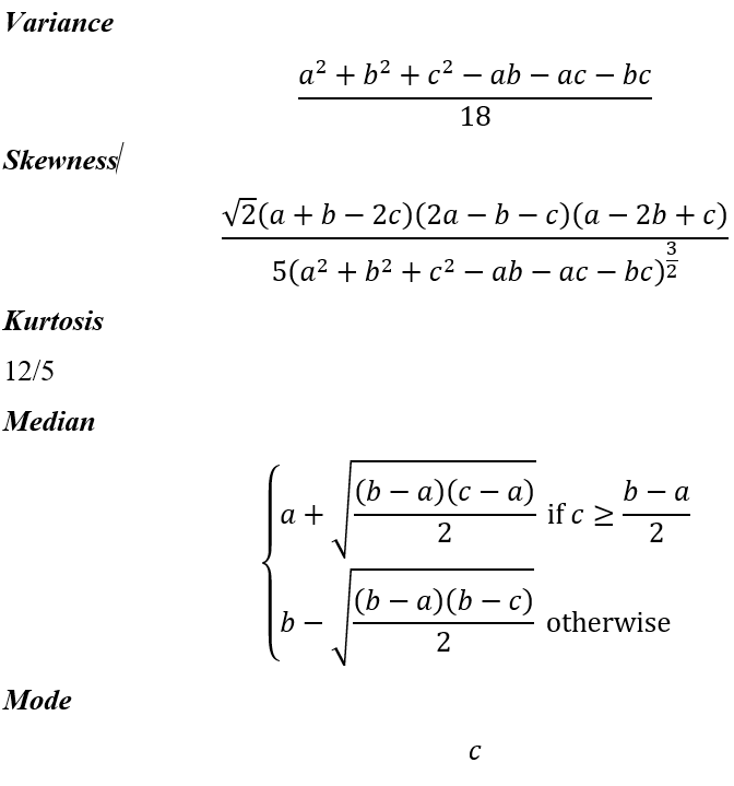
PsiTriangGen (ap,m,br,p,r…) is a Triangular distribution where the lower and upper bounds are not given as fixed values, but are specified using percentiles. This distribution is usually used to create rough models in situations where little or no data is available. The distribution has a most likely value of m, the p (lower) percentile value is ap, and the r (upper) percentile value is br. Given these values, a PsiTriangGen (ap,m,br,p,r…) distribution corresponds to a PsiTriangular (a,c,b) distribution with values for the bounds (a and b), and the most likely value (c) computed as shown below.




