Skip to main content
888-831-0333
  • Blog
  • Students
  • Live Chat
  • Contact Us
  • Help Desk
  • Login
    X
    • Create an account
Home

Free Trial

  • X
  • Solutions
    • By Your Role
      • Business Analyst
      • Developer
      • Manager
    • By Analytic Method
      • Mathematical Optimization
      • Risk Analysis and Simulation
      • Data Science Machine Learning
      • Business Rules / Decision Tables
      • Deployment - Business Value
    • By Functional Area
      • Corporate Finance
      • Investments
      • Production
      • Distribution
      • Purchasing
      • Human Resources
    • By Industry
  • Products
    • Analyst Tools
      • Analytic Solver for Excel
        • Analytic Solver Product Overview
        • Analytic Solver Optimization
        • Analytic Solver Simulation
        • Analytic Solver Data Science
      • Analytic Solver Academy
      • RASON Decision Services
      • Solver Engines
    • Developer Tools
      • Optimization and Simulation
      • Forecasting and Data Mining
      • RASON Decision Services
      • Solver Engines
  • Resources
    • Case Studies
    • Training Webinars
      • Optimization Webinar
      • Simulation Webinar
      • Data Science Webinar
    • Solver Tutorials
      • Optimization Tutorials
      • Simulation Tutorials
      • Data Science Tutorials
    • Excel Examples
      • Finance Examples
      • Investment Examples
      • Production Examples
      • Distribution Examples
      • Purchasing Examples
      • Scheduling Examples
    • Video Demos
  • Support
    • Technical Support
    • Consulting Help
    • Academy Courses
    • Online Help
      • Excel Solver Help
      • Data Science Help
    • User Guides
      • Excel User Guides
      • SDK User Guides
      • Recommended Books
  • Pricing & Terms
    • Analytic Solver Packages
    • RASON Packages
    • Pricing by Product
      • Excel Product Pricing
      • SDK Product Pricing
      • RASON Product Pricing
    • Credit Card Orders
      • Excel Product Order
      • SDK Product Order
      • Solver Engine Order
    • Types of Licenses
    • License and Warranty
      • License Agreement
      • Limited Warranty
    • Standard vs Custom Terms
    • Invoicing Payment
  • Free Trial
    • Contact Us
    • Login
    • Live Chat
    • Help Desk

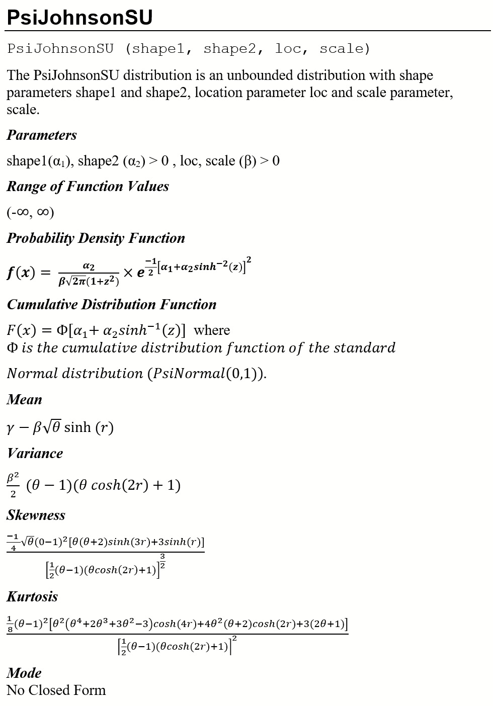
PsiJohnsonSU Distribution

  • Home
  • Risk Solver Help
  • PSI Function Help
  • Psi Functions for Simulation
  • Psi Distribution Functions for Simulation

PsiJohnsonSU Distribution Defined

‹ PsiJohnsonSB Distribution up PsiKumaraswamy Distribution ›

We're Here to Help

Question or Comment

Support Live Chat

Consulting Help

Support KnowledgeBase

Call Us
Inside USA: 888-831-0333
Outside: 01+775-831-0300

Product Catalog

  • Excel Products (10)
  • SDK Products (3)
  • Solver Engines (11)

Footer menu

  • Optimization Methods
    • Linear Programming
    • Quadratic Programming
    • Mixed-Integer Programming
    • Global Optimization
    • Genetic Algorithms
  • Simulation Methods
    • Risk Analysis
    • Simulation
    • Monte Carlo Methods
    • Simulation Optimization
    • Stochastic Programming
  • Data Science Methods
    • Data Visualization
    • Feature Selection
    • Classification Methods
    • Text Mining
  • Help and Support
    • Tutorials
    • Webinars
    • Product Manuals
    • For Consultants
  • Frontline Systems Inc.
    • About Us
    • Contact Us
    • Press/Analysts
    • Support Policies
    • Job Openings

© 2026 Frontline Systems, Inc. Frontline Systems respects your privacy. For important details, please read our Privacy Policy.